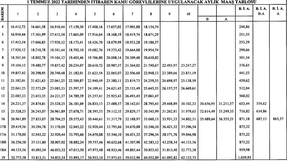
1 Ocak 2022-31 Haziran 2022 arası hayat pahalılığı oranının yüzde 56.76 olarak gerçekleşmesi ile kamu maaşlarında da değişiklik oldu.
Buna göre, 1 Temmuz 2022 tarihinden itibaren kamu çalışanlarının alacağı maaşlar belli oldu. Açıklanan maaş tablosuna göre ortaokul mezunu en düşük maaşlı kamu işçisi Temmuz sonunda 13 bin 74 TL maaş alacak.
Yeni maaş tablosunda en düşük müsteşar maaşı 49 bin 628 TL, en yüksek ise 61 bin 591 TL olarak belirlendi. Lise mezunu bir kamu çalışanı ayda en az 14 bin TL maaş alacak. Hizmet yılına göre maaşı 32 bin TL’ye kadar çıkacak.,





